微言网

搜索
微言网 首页 新闻 新闻 查看内容

以媒公布停火协议文本,以军撤军72小时后所有人质将被释放

2025-10-10 10:53| 发布者: 微言网编辑部| 查看: 51| 评论: 0

摘要: 当地时间9日夜间,以色列公共广播公司Kan发布了以色列、哈马斯和调解员在埃及签署的释放被扣押人员和结束加沙冲突的协议副本。这份文件详细介绍了该协议的各个部分。首先是美国总统特朗普宣布“结束加沙地带的战争, ...

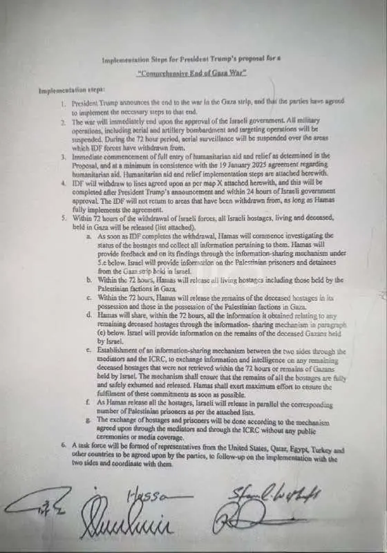
当地时间9日夜间,以色列公共广播公司Kan发布了以色列、哈马斯和调解员在埃及签署的释放被扣押人员和结束加沙冲突的协议副本。这份文件详细介绍了该协议的各个部分。

首先是美国总统特朗普宣布“结束加沙地带的战争,各方已同意为此采取必要步骤”。

第二部分明确,“经以色列政府批准后战争立即结束”,目前以色列政府正在开会对该协议进行投票,所有军事行动将停止。

第三部分要求“立即开始全面向加沙地带提供人道主义援助和救济”。

第四部分则表示“以色列国防军将撤至随附地图X所商定的线路,这将在特朗普宣布后、以色列政府批准后24小时内完成”,且表明“只要哈马斯全面履行协议,以色列国防军就不会返回已撤出的地区。”

第五部分写明,“在以色列军队撤离后的72小时内,释放所有被关押在加沙的以色列人员,包括活着的和死去的”。下一个子条款规定“随着哈马斯释放所有被扣押人员,以色列将同时释放名单相应数量的巴勒斯坦囚犯”,且被扣押人员的交换将根据调解人和红十字国际委员会商定的机制进行,不举行任何公开仪式或媒体报道。

最后的部分明确,“将由美国、卡塔尔、埃及、土耳其和其他经双方同意的国家的代表组成一个工作组,负责跟进双方的实施情况并进行协调。”(总台记者 李享)


鲜花

握手

雷人

路过

鸡蛋
!viewthread_share_to!:

当他人从你分享的链接访问本页面时,每一个访问者的点击,你将获得[1金钱]的奖励,一个IP计算一次.

最新评论

文热点

返回顶部